Rut and Rad Expression in Ventral Nerve Cord
on Monday, January 12th, 2026 1:08 | by Ipek Subay
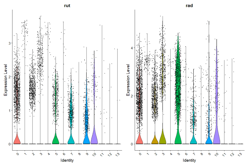
I replicated the analysis of the single-cell RNA-sequencing data of the ventral nerve cord from Allen et al., (2020)
tSNE cluster map

rut, rad, VGlut, FoxP expression in clusters:

Aaron M Allen Megan C Neville Sebastian Birtles Vincent Croset Christoph Daniel Treiber Scott Waddell Stephen F Goodwin
(2020) A single-cell transcriptomic atlas of the adult Drosophila ventral nerve cord
eLife 9:e54074.
https://doi.org/10.7554/eLife.54074
Category: Uncategorized
Leave a Reply