Yellow T-Maze Results
on Friday, November 14th, 2025 3:35 | by Daniel Döringer
I performed the first set of T-Maze experiments, which included 3IY treated flies, with red light. In this experiment I could nicely reproduce earlier results in PPM2 flies only treated with ATR. Flies initially showed weak avoidance of optogenetic stimulation, and developed a weak approach-behavior over the time course of ten minutes. In the 3IY treated flies I found similar avoidance after 1 minute of testing but, interestingly, flies kept the same level of avoidance also for a choice time of 10 minutes. This indicates that initial avoidance might be independent of dopamine, but prolonged or repeated release of the neurotransmitter from PPM2 neurons might lead to circuit changes, weakening avoidance behavior, potentially even changing it to approach.

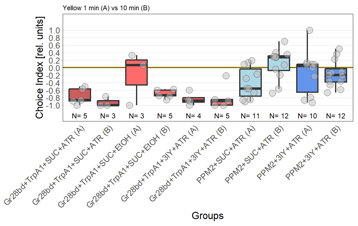
The new set of experiments uses yellow light instead of red light. This experiments are especially interesting, as I observed stronger effects for the experimental group for yellow light.

There are two main points to discuss about the data.
First, the negative control (Gr28bd+SUC+EtOH) … I was hoping that I solved the problem with the avoidance in flies that were not treated with ATR. These flies should not avoid optogenetic stimulation since without the chromophore, there should be no, or at least very weak, activation of the CsChrimson channel. Even if the sample size of 5 is rather low, it is a bit worrying that when these flies were tested for 10 minutes ((Gr28bd+SUC+EtOH (B)), they show avoidance comparable to control flies that were treated with ATR and tested for 1 minute ((Gr28bd+SUC/3IY+ATR (A)).
On the other hand, the experimental groups look pretty good. For now, I was not only able to reproduce results from the first 1 vs. 10 minute T-Maze testing with yellow light, it also seems that 3IY-treated PPM2 flies show the same phenotype as when tested in red light.
For the next few weeks I will have to increase sample sizes, aiming for 30 for each of the experimental groups. I will only include a few control groups treated with ATR, as the effect size here seems to allow for a lower N. Presumably, I will include more untreated control flies, to see whether the avoidance will persist or if the current results simply arise from the low sample size.
Update 28/11/25

Category: Biogenic Amines, Optogenetics
Leave a Reply