Updated results from JoyStick experiments with the “new” control driver line (and some OA flies)
on Monday, October 13th, 2025 12:46 | by Daniel Döringer
Unfortunately I am still dealing with the problem that flies from my negative control group avoided optogenetic activation, even when their optogenetic channel should not work without ATR supplementation. To tackle this problem I used a “new” effector line (I prepared a new stock from our stock collection) for crossings and tested the offspring, without any improvement concerning the avoidance. Unfortunately the “new” effector line I tested turned out to have lost its “NorpA” mutation which would ensure that the male offspring is blind, thus should rule out any phototaxis-bias. Since flies still avoided the light, a) the effector line does not seem to be the problem and b) the ability to see does not seem to affect the flies behavior in the JoyStick setting.
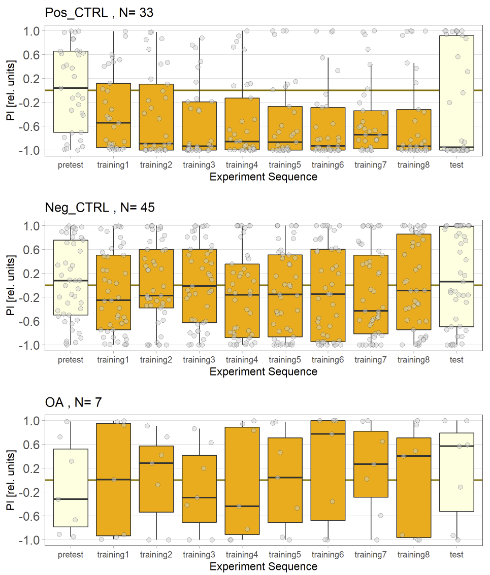
As a next step I targeted the driver line, as maybe a mutation might have lead to an increase in Gal4. Since we always observed a slightly negative values for our negative control group, hinting that at least some residual activation of the CsChrimson channel is possible even without ATR, an increase in Gal4 might lead to a higher expression of the optogenetic channel.
Residual activation + More channels = More residual activation = Our observed avoidance???

So positive control looks good, negative control is still slightly negative but to an extend that I would consider neglectable.
The additional group here called “OA” are OA;VuMA2 x NorpA, 20xUAS-Chrimson flies. It’s way too early to make any assumptions from the current data but I am looking forward to the results for this group.
Update 27/10/25: Added more flies
Category: Biogenic Amines, Optogenetics
Leave a Reply