Final results of yellow light T-Maze experiments with dopamine depletion using 3IY
on Saturday, December 13th, 2025 6:15 | by Daniel Döringer
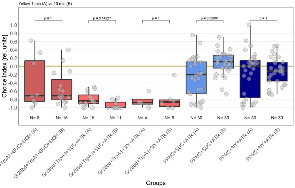
In previous experiments we tested flies expressing the optogenetic CsChrimson channel in PPM2 neurons. We observed mild avoidance at 1 minute, which decreased over the time course of 10 minutes, even leading to positive choice indices. To verify whether the observed effect was instructed by dopaminergic signaling, I depleted flies of dopamine using the competitive tyrosine-hydroxylase inhibtor 3-Iodo-L-Tyrosine, and tested flies again in red and yellow light T-Maze, for 1 and 10 minutes. The figure below shows the results for the yellow light T-Maze. Although we can see the same trend from avoidance in the beginning to mild approach after 10 minutes, this effect was not significant. For the 3IY treated experimental groups, we can assume that the general effect mediated by these neurons seems to be absent, when animals are depleted of dopamine.

Although I could not observe a significant effect here, I plan to follow up these experiments with yet another set of T-Maze experiments. This time I plan to actively activate the neurons prior to testing. I hypothesize, that prolonged activation of the neurons might affect their valence for the animal and therefore expect animals which experienced this activation to show differences in 1 minute testing.
Category: Optogenetics
Leave a Reply