Almost there
on Monday, October 27th, 2025 12:47 | by Daniel Döringer
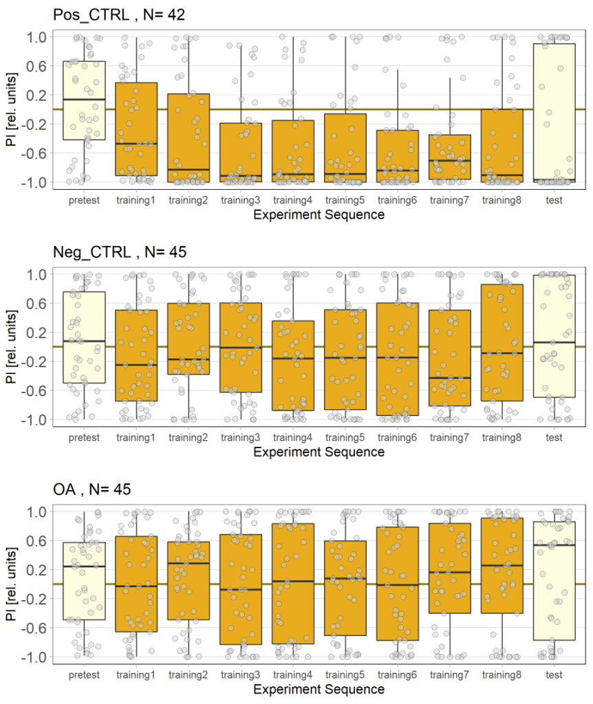
In this set of JoyStick experiments, I tested flies expressing the CsChrimson channel in OA-VuMa octopaminergic neurons, which are the Drosophila counterparts to the honeybee OA-VUMmx1 neurons. There are still a few flies left, but for now activation of these neurons does not seem to mediate any strong innate valence. There may be a slight tendency for approach in the alter periods but it might also be by chance, since we can already observe positive values in the pretest.


Category: Optogenetics
Leave a Reply